顏色色彩管理、配色

色差用什么表示?CIE94公式怎么計算色差?
色差是顏色質量管控中一個重要的指標,它表示的是兩個色樣之間的顏色差異值,常用于評價產品的顏色是否合格。那么,色差用什么表示?CIE94公式怎么計算色差?本文對色差的表示方法及CIE94色差公式做了介紹。

色差用什么表示?
色差用△E表示,△表示差異,E是德語單詞Empfindung的第一個字母,含義是感覺。色差的單位是NBS,它是美國國家標準局(National Bureau of Standards)制定的,現為各國普遍采用。當△E=1時稱為1個NBS色差單位,1NBS色差單位大約相當于在最優試驗條件下人眼所能感覺到的最小色差的5倍。在CIE色度圖中,1NBS色差單位相當于 0.0015~0.0025x或y的色度坐標變化。在孟塞爾色系中,一個孟塞爾明度單位等于10個NBS色差單位,1個孟塞爾飽和度單位等于7個NBS色差單位。下表表示NBS單位及在色差視覺上的顯著程度。

CIE94公式計算色差方法:
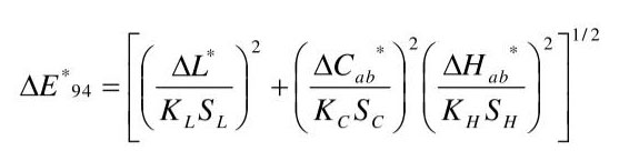
CIE94色差公式即CIE1994(△L*△C*ab△H*ab)色差模型,其縮寫形式是CIE94,色差符號為△E*94?!鱁*94色差公式是CMC(1:c)色差公式的一種改良形式,其結構與ΔE*CMC(l:c)色差公式相似的公式,該公式的計算式如下所示:

式中ΔL*,△C*ab,△H*ab分別表示兩種顏色間的明度差、彩度差和色相差。參數因子KL,KC,KH可根據不同的評價對象和評價條件選擇不同數值,參考條件下的參數因子數值均為1。當觀察條件改變時,可以對各參數進行單獨改變以適應視覺上每個顏色分量(明度、彩度、色相)的變化。
CIE94色差公式沿用了變化參數的思想,對關系顏色差別的三要素明度、彩度和色相給出了更好的參考。常用的參考數值僅僅對明度的取值進行改變,例如,評價紡織品是明度的參數因子取值為2,而在印刷行業中推薦的明度參數因子的取值為1.4,這兩種情況下其他兩者的取值與參考條件下的取值相同。
CIE94色差公式特點:
CIE94色差公式是基于CIELAB色差公式提出的一個色差公式。CIE對ΔE*94色差公式的改進工作涉及兩個方面:色差距離的均勻性和參量對知覺色差的影響。應用加權函數校正CIELAB空間的均勻性,與此同時定義一組基本條件,在基本條件下應用草案時無需對參量效應校正,推薦草案改進CIELAB空間的均勻性獲得了預期的成功,而且ΔE*94色差公式加權函數比△ECMC(l:c)色差公式簡單得多。
另外,CIE在推薦CIE94色差公式時,確立了一組適用于該公式的參照條件。其中,照明體是模擬D65的相對光譜功率分布;照度為1000lx;背景是明度L*=50的均勻中性灰色;觀察對象是物體色;樣品尺寸對應于視角大于4°;樣品放置時兩直邊接觸,間隔最?。粯悠返纳罘葹?~5個CIELAB單位;樣品在結構上無視覺明顯圖樣,非均勻性。
CIE94色差公式與CMC(l:c)色差公式結構相似,但其權重函數更加簡單。其優點是引入了明度權重函數l和彩度權重函數c,改進了 CIELAB顏色空間的均勻性。其缺點是在a*b*平面上,計算得到的容差橢圓的△C軸全部指向原點,而目視評定結果的容差橢圓。