顏色色彩管理、配色

Hunter Lab顏色空間及Hunter Lab色差公式
Hunter Lab顏色空間是Hunter提出的一個顏色空間,該顏色空間與CIELab顏色空間一樣,都是從CIEXYZ顏色空間導出的一個顏色空間,用L、a、b三個維度對顏色進行描述。本文對Hunter Lab顏色空間及Hunter Lab色差公式做了介紹。

Hunter Lab顏色空間:
Hunter Lab顏色空間是一個基于對立顏色學說的三維矩形空間,如下圖所示,與CIE L*a*b*色彩體系相類似,同一顏色在這兩個顏色空間中的數值是不同的,Hunter Lab在顏色空間的藍色部分是收縮的,CIE L*a*b*在顏色空間的黃色部分是過度擴張的;都是由CIEXYZ體系導出的,L(明度)軸代表黑,100代表白。a(紅一綠)軸:其中正值為紅;負值為綠。b(藍一黃)軸:其中正值為黃;負值為藍。L值越大,物體顏色越白;L值越小,物體顏色越黑。沿(+a)方向紅色逐漸加深,沿(-a)方向綠色逐漸加深。沿(+b)方向黃色逐漸加深,沿(-b)方向藍色逐漸加深。其表達式如下:

其中:L為明度;a、b為色度;X、Y、Z為物體的三刺激值;Xn、Yn、Zn為完全反射面的三刺激值;Ka、Kb為調整因子。
Hunter Lab色差公式:
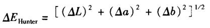
Hunter色差公式是由亨特(Hunter)為使光電色度計讀數方便,而于1948年提出的Lab對抗色系統中計算色差的公式,大多用于陶瓷、塑料和紡織品等,一般可滿足工業生產管理的需要。Hunter Lab色差公式和CIELab公式相似,在該公式中,L表示物體反射光的明度,a表示反射光中紅色與綠色的成分,b表示反射光中黃色與藍色的成分。因此,Lab系統的色差公式可表示為:

式中:△L、△a、△b分別為兩個物體表面色的明度差和色品坐標差。
通過以上公式計算出來的色差有以下特點:
1.色差總是以(試樣-標樣)的值來計算的;
2.如果△L*為正,試樣比標樣淺;如果△L*為負,試樣比標樣深;
3.如果△a*為正,試樣比標樣更紅(或少緣);如果△a*為負,試樣比標樣更綠(或少紅);
4.如果△b*為正,試樣比標樣更黃(或少藍);如果△b*為負,試樣比標樣更藍(或少黃);
5.由于色空間的非均勻性,通常是較淺的顏色有較大的L*允差,較小的a*和b*允差;
6.對彩度(飽和度)較大的顏色,有較大的a*和b*允差;
7.當HunterL、a、b矩形坐標被用作三維色差空間時,結果可接受的樣品是緊縮在一個矩形框內。